Your Cart
Loading
Only -1 left
1 review

New Keynesian DSGE Model in Matlab

On Sale
$50.00 (75% off)
$12.50
Added to cart
1 review

In this comprehensive package you will get:

  • Calibrated New Keynesian DSGE Model
  • Includes scenario analysis, where we modify the parameter values and see the effects.
  • Estimated New Keynesian DSGE Model
  • Dataset
  • Slides with instructions
You will get the following files:
  • XLSX (13KB)
  • MOD (1KB)
  • MOD (2KB)
  • PDF (1MB)
  • PDF (26KB)

Canonical Three Equations New Keynesian DSGE Model in Matlab-Dynare

The New Keynesian DSGE model is underpinned by three fundamental equations, each crucial for understanding macroeconomic dynamics. Firstly, the Phillips curve embodies the trade-off between inflation and real economic activity, capturing how changes in economic output affect price levels. Secondly, the IS curve depicts the relationship between output and interest rates, reflecting the equilibrium in the goods market and the impact of monetary policy on economic activity. Lastly, the Taylor rule outlines the central bank’s reaction function, dictating how it adjusts the nominal interest rate in response to deviations of inflation from its target and output from its potential.


Mastery of these equations is paramount for grasping the intricate interplay between monetary policy, inflation dynamics, and output fluctuations, providing a solid foundation for analyzing economic phenomena and guiding policy prescriptions. In this tutorial, we will discuss the three equations that define the canonical model. At the end of the tutorial, you will find a link to access the complete material in Matlab-Dynare. Through this package, individuals will gain comprehensive insights into these equations, learning not only how to estimate them in Matlab-Dynare but also how their variables and parameters influence one another, facilitating a deeper understanding of macroeconomic theory and practice.

We begin calibrating the model

The first code includes the necessary commands to calibrate the canonical New Keynesian DSGE Model. When the model is calibrated, it means we are not feeding the model with data to produce the results. The impulse response functions show no confidence bands, as the model is not estimated. Something very cool is that I show you how to produce alternative responses by changing the parameter values. You can answer questions like:

  • What would happen if prices were not sticky?
  • What would happen if consumers were more risk-averse?

Change the parameter values in the code and play around!

Calibrated Impulse Response Functions

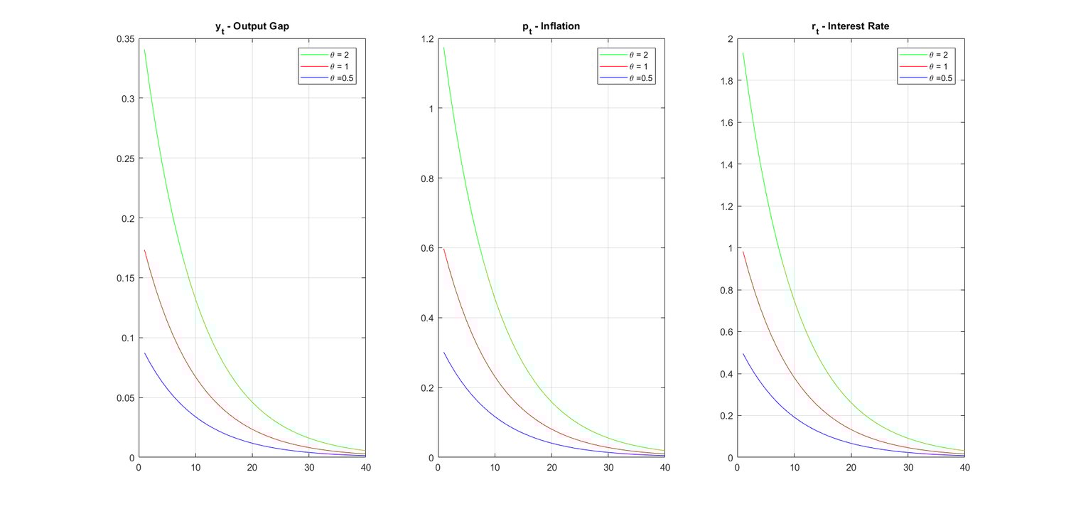
Scenario Analysis

What happens if we modify the parameter value of theta and shock the demand?


You can see how smaller values of theta imply that changes in the Federal Rate have less effect on the output gap.

Estimate the model

Next, we move on to estimating the model. The estimation method is Bayesian. We define the prior distributions of the parameters to be estimated in the model, and using the MCMC method, we estimate the parameters. The dataset includes the output gap, inflation, and the Federal Rate for the USA.

a shock to output

A shock to output has a positive impact on the variables in the model. We can see that when output expands, inflation increases as well. The central bank responds by increasing the rate to control inflation.

a shock to Inflation

A shock to Inflation has a mixed impacts on the variables in the model. We can see that when inflation expands, the output contracts. The central bank responds by increasing the rate to control inflation.

a shock to the Fed Rate

A shock to the Fed Rate has a negative impact on output and inflation. We can see that when the Fed. Rate unexpectedly increases the rate, inflation and output go down.

Watch the Video Tutorial

The following video tutorial goes through the three equations involved in the New Keynesian canonical DSGE model. You will understand how the equations are linked and why this model is important. Purchasing this package will provide you with the codes, slides, and dataset needed to calibrate and estimate the model in Matlab-Dynare.

Customer Reviews

Yetsedaw E.

Verified Buyer

1 year ago

Juan has a gift for making complex topics easy to understand.

I really appreciate Juan's clear and concise explanations.
Reply from creator